凿岩台车在铁路隧道不同工法中的适用性
随着国民经济的飞速发展和以人为本的理念日趋深入,隧道钻爆法的机械化施工以其“高效、环保、安全”的优点逐渐受到建设方与施工单位的重视。
隧道机械化施工是指采用配套机械进行隧道开挖、支护等一系列作业。其中,隧道钻孔是机械化施工中的重要部分,对隧道的施工效率有着重要影响。隧道施工中的钻孔主要包括掌子面钻孔和洞周径向钻孔。掌子面钻孔用以安装炸药和超前支护,洞周径向钻孔用以安装锚杆、洞周注浆等。目前,国外隧道施工中普遍采用机械化台车进行钻孔作业,工作人员通过台车中心室的计算机来操控台车以实现自动化施工。与之相比,国内有少数采用凿岩台车施工的案例,但大多数隧道仍采用风钻人工钻孔,在施工效率及自动化程度上相比机械化凿岩台车有较大差距。
较多文献对比了风钻与凿岩台车的优缺点。凿岩台车在钻孔效率、人力配置、施工质量、安全性等方面占有显著优势。机械化凿岩台车在我国隧道应用较少的原因,除了台车高昂的销售和维修价格外,另一个主要原因是由于台车在隧道复杂工法下的适用性不明确导致所购台车型号和工法不匹配,以致台车的适用范围和使用率较低。因此,明确台车在隧道不同施工工法中的适用性,针对性地选择合适的凿岩台车对提高台车的使用率及工作效率尤为重要。
1 影响凿岩台车适用性的因素
隧道施工中使用的凿岩台车有2种,一种只具有钻孔功能,另一种除具有钻孔功能外,还具备安装锚杆(主要为树脂锚杆、胀壳锚杆等)的功能。2种台车的整体结构基本相同。图1是瑞典阿特拉斯公司的BoomerK41凿岩台车。台车在工作时,工作人员通过计算机控制钻臂和推进梁进行钻孔。钻臂用以支承推进梁,可在一定的角度内上下左右摆动,并可伸长一定距离;推进梁用以安装和推进钻杆,其型号决定了钻孔深度和直径,同一台车可配不同型号的推进梁。钻臂和推进梁的技术参数决定了台车的作业范围。

判断台车是否适用隧道,首先应考虑其最大作业范围能否覆盖隧道施工范围,若不能则该台车只能对隧道部分区域施工,性价比不高。其次应考虑台车的一次性钻孔深度能否满足设计要求,若不能则需要接杆,影响施工效率。最后还应考虑钻孔直径能否达到要求。因此,评判台车的适用性应从其作业范围、一次性钻孔深度、钻孔直径3个方面考虑。任一方面达不到设计要求都将降低隧道施工效率,无法完全发挥台车的优势。
本文以阿特拉斯公司的凿岩台车为例,分析其适用性。
2 全断面法凿岩台车的适用性
2.1 掌子面钻孔
隧道在进行爆破、超前支护等作业时需要在掌子面钻孔。全断面法隧道掌子面钻孔作业如图2所示。

根据图2,当台车作业高度完全覆盖隧道开挖高度时,台车的最大作业高度H应满足。

式中:D为隧道初期支护内净空高度,m;h1为钻臂铰��点高度,m;h2为钻臂可抬升的最大高度,m;h3为推进梁到钻臂末端的距离,m;l为钻臂最大长度,m;α为钻臂举升角,°。
h1与h3由台车型号决定,α与l由钻臂型号确定。按照同样的方法可求得凿岩台车的最大作业宽度。根据式(1)~式(3),同时考虑到台车的一次性钻孔深度和钻孔直径,凿岩台车进行掌子面钻孔关键技术参数见表1。

根据《铁路工程建设通用参考图》可得不同时速下铁路隧道开挖高度。同时考虑到台车最大作业高度,隧道开挖高度、开挖进尺,一次性钻孔深度及钻孔直径,可得全断面法隧道掌子面钻孔凿岩台车配置见表2。

由表2可以看出,BoomerK41,BoomerK111,Boomer281,Boomer282不适用于铁路隧道全断面法施工,BoomerL1D,BoomerL2D适用于部分断面面积较小的隧道,而BoomerXL2D,BoomerXL3D适用于所有隧道,故其适用性及性价比最好。另外,BoomerL2D,BoomerXL2D,BoomerXL3D可选配安装工作篮,为工作人员安装炸药和锚杆提供平台,多个钻臂可同时工作,从而进一步提高施工效率,因此可优先选择。
2.2 锚杆钻孔
全断面法隧道锚杆钻孔作业示意如图3。

根据图3,当台车作业高度完全覆盖隧道开挖高度时,台车的最大作业高度H除应满足式(1)之外,还应满足。

式中:L1为推进梁末端到推进梁与钻臂连接点的距离,m。
另外,当台车在边墙水平钻孔时推进梁的长度L为台车的最小作业宽度,应不大于隧道初期支护内净空宽度B,即应满足。

根据式(1)、式(4)~式(5),综合考虑一次性钻孔深度及钻孔直径,凿岩台车锚杆钻孔作业关键技术参数见表3。

根据《铁路工程建设通用参考图》,统计可得全断面法隧道初期支护内净空尺寸。同时考虑台车最大作业高度、最小作业宽度、隧道初期支护内净空尺寸、一次性钻孔深度、钻孔直径及锚杆长度,可得全断面法隧道锚杆钻孔凿岩台车配置,见表4。

由表4可以看出:BoomerK41可适用的隧道最少,适用性最低;BoomerK111,Boomer281适用性一般,适用于单线250km/h以下及双线200km/h以下的隧道;Boomer282适用性较好,除部分双线250,350km/h隧道外,其余均适用;BoomerL1D,L2D,XL2D,XL3D适用性最好,适用于所有隧道。
3 台阶法凿岩台车的适用性
3.1 掌子面钻孔
采用台阶法施工时,凿岩台车钻孔分台阶上和台阶下2种工作模式。在台阶上工作时要求台阶长度大于台车的行走长度,台阶长度一般为5~8m,而台车的行走长度普遍大于10m,无法满足要求,故此种工作模式不适用。采用三台阶法施工时台车在台阶下进行掌子面钻孔作业,如图4所示。

依据图4,台车位于隧底对上台阶掌子面钻孔时,除了应满足式(1)之外,还应满足。

式中:l上,l中分别为上台阶和中台阶的长度,m;h中为中台阶高度,m。
根据式(6),台阶长度越小越利于台车钻孔作业。因此,采用短台阶及微台阶更利于隧道的机械化施工。对于两台阶法,推导方法相同,此处不再赘述。
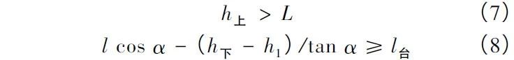
3.2 锚杆钻孔
两台阶法锚杆钻孔作业如图5所示。

依据图5,采用台车对两台阶法隧道进行锚杆钻孔,需同时满足以下2个条件。

式中:h上,h下分别为上台阶和下台阶的高度,m;l台为台阶长度,m。
由式(7)和式(8)可以看出,上台阶高度越大、台阶长度越小,越有利于台车的钻孔作业。
采用三台阶法施工时,上台阶高度一般为2~3m,受限于空间,无法采用台车进行拱顶的钻孔作业。在中台阶范围进行锚杆钻孔时,需参考以上公式对其适用性进行研究。
采用CD法、CRD法、双侧壁导坑法、预留核心土法等工法施工的隧道,受限于空间,不建议直接采用大型机械化台车进行钻孔作业。此时可对隧道进行超前支护和掌子面加固后采用台阶法或全断面法施工。
4 结论
本文对凿岩台车在全断面法和台阶法隧道掌子面钻孔和锚杆钻孔中的适用性进行了研究,提出了台车适用性评估方法及选型参考公式,得出主要结论如下:
1)采用全断面法施工的隧道,台车的适用性分析应从台车作业范围、一次性钻孔长度及钻孔直径3个方面进行。只有当3个方面同时满足设计要求时,才能充分发挥出台车的优势。
2)采用台阶法施工的隧道,台车的适用性分析还应考虑台阶高度和长度的影响。对于采用三台阶法施工的隧道,不建议直接采用凿岩台车进行钻孔作业。
3)采用全断面法开挖时,掌子面钻孔和锚杆钻孔可根据式(1)~式(5)对台车进行适用性评估,台车的选型可参考表2、表4。
4)采用台阶法开挖时,应根据台阶高度和长度,按照式(1)、式(6)~式(8)对台车进行适用性评估。