ZYYG170A液压凿岩机齿轮箱高温的原因分析及改进
0 引言
ZYYG170A型液压凿岩机是中船重工中南装备有限责任公司在ZYYG170型液压凿岩机的基础上进行优化改进的产品,在改进过程中,对齿轮箱总成的设计进行了局部修改。改进后的凿岩机样机在河南某隧道工地使用时出现了齿轮箱高温的异常现象,最高温度一度超过110℃,远高于正常温度(80℃以下)并伴有回转动作失灵的现象。
1 齿轮箱结构简介
图1中,ZYYG170A型液压凿岩机的齿轮箱由齿轮箱体、大齿轮、小齿轮、轴承、传动轴、衬套、钎尾套等零件组成。衬套外圆与大齿轮内孔之间为过盈配合,衬套内孔与钎尾套之间为间隙配合,钎尾套可沿轴线在衬套内往复运动。大小齿轮通过轴承定位,可以自由转动。

2 技术分析
根据故障现象,可以从以下几种情况分析其产生的原因。
2.1 润滑脂不够导致的摩擦发热
凿岩机在班前准备工作中已加入了足量的专用润滑脂,在现场发现温度异常后,又补加了部分专用润滑脂,专用润滑脂已从观察孔中溢出,说明润滑脂是足够的。再次开机测试,温度依然异常,故可排除润滑脂不够的可能性。
2.2 齿轮箱中有异物造成卡滞、摩擦加剧,导致发热加剧
将齿轮箱拆解并清洗干净后,并未发现有明显的异物,大、小齿轮零件表面没有明显的划伤或挤压伤痕,齿轮及轴承表面颜色正常,没有明显的高温烧蚀痕迹,���图2。故可排除齿轮箱中进入异物的可能性。

2.3 零件配合间隙较小导致的摩擦发热
在拆解衬套和钎尾套时,发现衬套与钎尾套已经抱死,钎尾套颜色发乌,有明显的高温烧蚀痕迹,见图3。由此可见,造成高温的发热源在衬套和钎尾套之间。

为了确认发热原因,我们对厂内同型号凿岩机的齿轮箱零件进行了全面的测量。通过测量发现,大齿轮安装衬套内孔的设计尺寸为φ67.50.030,衬套内外圆的设计尺寸分别为φ63.50.030和φ67.50.0620.043,而当衬套内圆尺寸处于下极限时,由于衬套与大齿轮之间是过盈配合,大齿轮会对衬套产生一个挤压作用,导致衬套的内孔在安装后会有一定幅度的缩小,安装后衬套内孔的实际尺寸在φ63.48~φ63.5之间,如果大齿轮内孔在下极限且衬套外圆尺寸在上极限时,衬套内孔的实际尺寸会更小。由于衬套的内孔尺寸在安装后缩小,导致衬套与钎尾套之间的配合间隙过小,在凿岩机运行过程中因摩擦加剧产生大量热量,大量热量导致零件膨胀,更加剧了摩擦,随着发热量越来越大,最终导致衬套和钎尾套抱死。
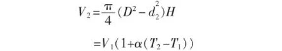
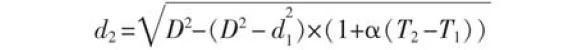
为了进一步确认发热原因,我们对衬套受热膨胀的幅度做了理论计算,计算过程如下。
假设衬套安装时温���为20℃,正常工作时温度为80℃,且衬套高度不发生变化。则衬套安装时的体积为

式中 V1——衬套安装时的体积,m³
D ——衬套安装时的外径,mm
d1——衬套安装时的内径,mm
H ——衬套安装时的高度,mm
工作时衬套的体积为

式中 V2——衬套工作时的体积,m³
d2——衬套工作时的内径,mm
α——热膨胀系数,1×10-6/℃
T1——衬套安装时的温度,℃
T2——衬套工作时的温度,℃
由以上公式可推导出

当D=67.5mm,d1=63.5mm,T1=20℃,T2=80℃时,可求得d2=63.49mm,此数值已经进入负公差,若T2更大,d2会更小。当D,T1,T2不变时,若要d2增大,则需增大d1。
以上计算结果和实际情况基本吻合。
3 改进措施
为了解决齿轮箱高温的问题,我们经过多次试验,最终将衬套内孔的设计尺寸由φ63.50.030调整到φ63.50.060.03,其余尺寸和公差保持不变。经过调整,衬套安装后其内孔的实际尺寸在φ63.5~φ63.53之间,再次进行现场应用,没有出现齿轮箱高温的异常现象。
4 结束语
ZYYG170A型液压凿岩机齿轮箱高温的原因是衬套与钎尾套之间的配合间隙太小,在凿岩机运行过程中因摩擦加剧产生大量热量而造成的。其根本原因是衬套内孔尺寸在下极限时,由于安装时的挤压作用,内孔尺寸缩小,导致衬套与钎尾套之间的配合间隙过小。通过调整衬套内孔的公差范围,齿轮箱高温的问题已得到解决。